Die Ausschreibung für 2026
kann hier heruntergeladen
oder
etwas weiter unten auf der Seite
angesehen werden.
NEU IN 2026
– Integration der Sportler
– Sonderwertung für die OA-Einsteiger
bei den NOSW-Veranstaltungen
Das Nennformular zur 2026er Meisterschaft gibts hier. Druckt es aus, tragt die gewünschten Daten ein und lasst es uns dann zukommen.
🙂
2025
Die Veranstaltungen der 2025er Kreismeisterschaft liegen alle hinter uns. Die letzte war die Ruhrgebiet-Classic des MSC Ruhr Blitz.
Folgerichtig lässt sich mit den Punkten der Abschlussveranstaltung dann das Endergebnis 2025 berechnen.
Das haben wir getan.
Ihr findet es hier zum Download.
Wir danken für die gewohnt positiv-konstruktive Unterstützung
beim Thema „Zählen und Zahlen“
🙂
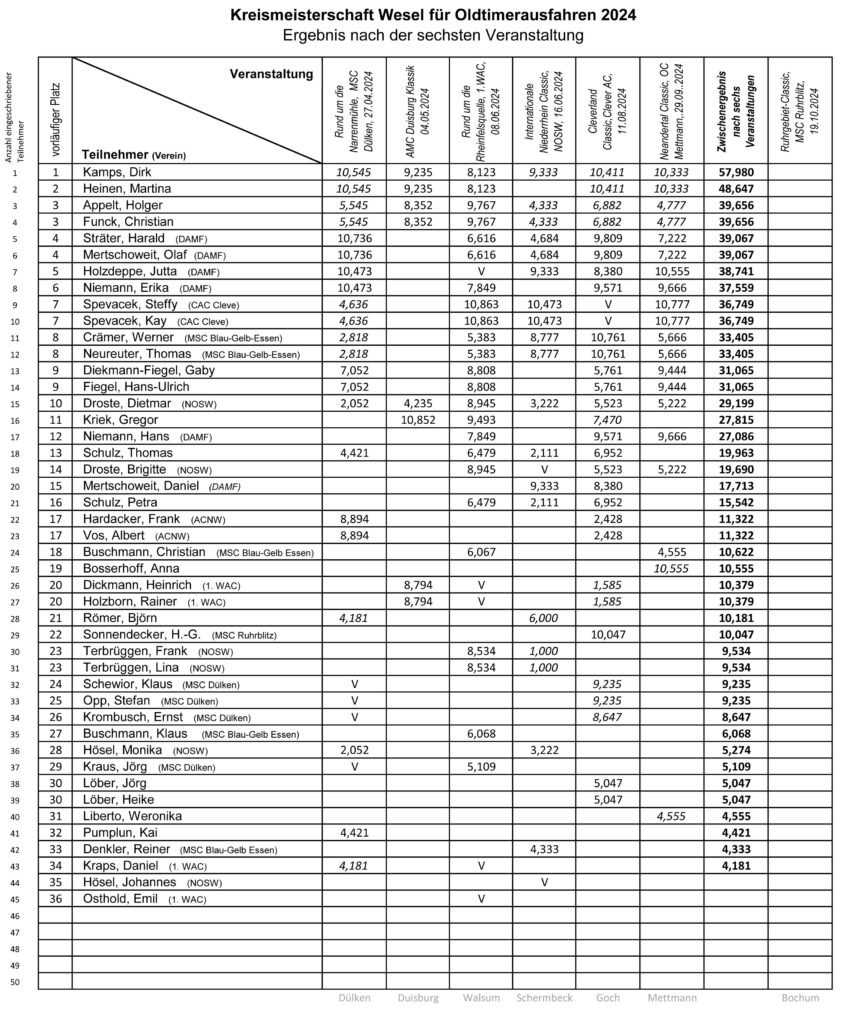
Die sechste, es war die 10. Neantertal-Classic
des OC Mettmann, ist durch.
Hier seht ihr das Zwischenergebnis 6.
Es hat Bestand bis zur 7., der letzten Veranstaltung der diesjährigen Kreismeisterschaft, am 11.10.2025
(sportliche Teilnahmen werden zwar nicht für die Kreismeisterschaft gewertet, dürfen aber in der Tabelle trotzdem ihre Erwähnung finden: „S“)
(Veranstalterpunkte „V“ werden nach Ende der Reihe berechnet und eingefügt)
Die Zwischenergebnisse sind immer vorläufig und veränderlich.
Bis zur letzten Veranstaltung können Nennungen hinzukommen.
Neue Teilnehmer werden erst mit der nächsten Veranstaltung einbezogen.
Entdeckt ihr Unstimmigkeiten? Informiert uns bitte und wir bessern ggf nach.
Die fünfte Veranstaltung,
die 3. Cleverland Classic des CAC Kleve,
liegt hinter uns.
Das daraus folgende Zwischenergebnis 5 steht hier
Auf den dritten Streich folgt der Vierte!
Nach der Niederrhein Classic des NOSW steht das
Zwischenergebnis 4 hier
Alle guten Dinge sind erstmal 3.
Hier ist das Zwischenergebnis nach der
„Rund um die Rheinfelsquelle“ des 1. WAC
Nach Veranstaltung Nr. 2,
der Springtime-Classic vom NOSW,
folgt das Zwischenergebnis 2 in 2025
Wir präsentieren nach der Saison-Eröffnung
beim MSC Dülken das Zwischenergebnis 1 in 2025
In 2025 gibts keine besonderen Änderungen oder gar Neuerungen. Wir bleiben nochmal bei Bewährtem und freuen uns auf eure Nennungen 🙂
↑
2024 hats geschafft. Weiter gehts mit 2025
Die Wertungsläufe liegen hinter uns.
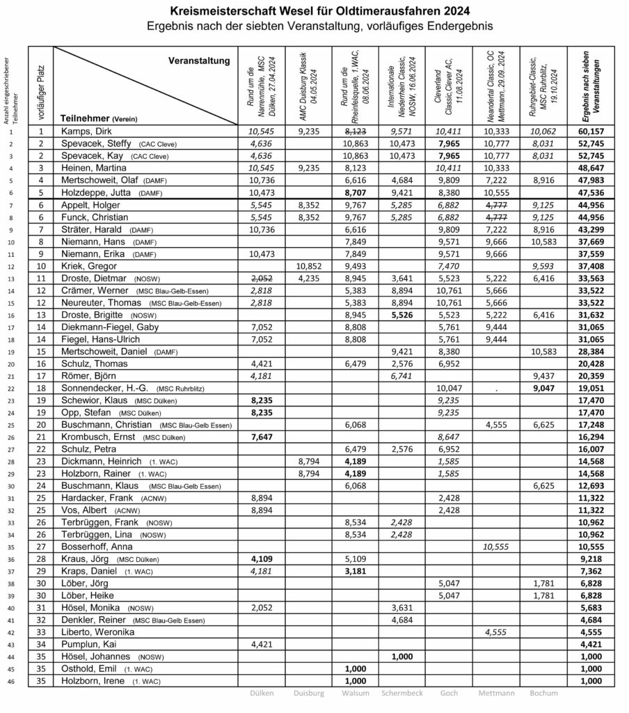
Nach Nr. 7, der Ruhrgebiet-Classic des MSC Ruhr-Blitz
steht hier das Endergebnis 2024
Wir danken für die konstruktive Zusammenarbeit, um zum definitiven Endergebnis zu gelangen.
zuletzt aktualisiert am 17.11.2024
Nach Veranstaltung 6, der Neandertal-Classic des MOC,
hier nun das Ergebnis 6 in 2024
Die 5. ist durch.
Der CAC Cleve veranstaltete am 11. August
erfolgreich seine zweite Oldtimerrallye.
Ergebnis 5 in 2024
Als vierter Veranstalter der diesjährigen Reihe war der NOSW dran.
Am 16. Juni wurde gefahren. Es ergibt sich daraus Ergebnis 4 in 2024
zuletzt aktualisiert am 27.06.2024
Alle guten Dinge sind schonmal „3“.
Am 8. Juni hat der 1.WAC veranstaltet.
Daraus folgt Ergebnis 3 in 2024
Veranstaltung Nr. 2 ist vorbei.
Der AMC Duisburg hat am 4.5. abgeliefert.
Hier gibts nun das Ergebnis 2 in 2024
Nach der Veranstaltung des MSC Dülken
am 27.04.2024 können wir das
erste Ergebnis in 2024 präsentieren:
Hier haben wir für euch
die Ausschreibung und das Nennformular
für das Jahr 2024
Es steckt viel Rechenarbeit drin, die, wie wir ja stets betonen, leider immer noch ein bisschen fehlerhaft sein kann (obwohl wir uns diesmal besonders angestrengt haben, um solche zu vermeiden).
Wenn ihr Fragen habe, dann fragt.
Wenn ihr Anmerkungen habt, dann merkt an.
Wir danken für eure Unterstützung!
.
Die Zwischenergebnisse sind immer vorläufig, denn durch dazukommende Kreismeisterschaftsteilnehmer und am Schluss berechnete Veranstalterpunkte wird sich spätestens am Ende der Saison noch deutlich was tun.
.
.
.
.
.
.
.
.
Hier haben wir die Termine für das Jahr 2023
als Liste mal n bisschen plakativ aufgehübscht 😉
Hier findest du die Bedingungen der Kreismeisterschaft Wesel
für Oldtimer-Ausfahrten in Schriftform:
Und hier ist dein Weg zur Kreismeisterschaft.
Einfach ausfüllen und uns zukommen lassen, schon bist du dabei
🙂
.
.
.
Aus dem Jahr 2022:
Der Korrektur-Service funktioniert!
Diesmal waren es die Veranstalterpunkte,
die berechtigerweise auf den Prüfstand mussten.
Hier ist das 2. vorläufige Endergebnis:
🙂 Juchhu 🙂
Das vorläufige Endergebnis der 2022er Kreismeisterschaft ist da.
„Vorläufig“ deshalb, weil sich, trotz aller Sorgfalt und Gegenkontrolle, doch still und leise Fehler einschleichen können.
Wenn ihr einen solchen findet, dann meldet ihn uns bitte zeitnah.
Erläuterung zur Ergebnisliste:
– Veranstalter-/Helferpunkte sind kleiner und kursiv dargestellt
(lt. Ausschreibung der Durchschnitt aus den selbst eingefahrenen Punkten plus Basispunkt)
– tourensportliche Ergebnisse sind eingerahmt dargestellt
.
.
Zur Bewertung der defacto gescheiterten „Histo-Neanderthal 2022“ haben wir entschieden, allen Teilnehmern mit KMSW-Einschreibung dieselbe Punktzahl zu geben. Vollkommen unabhängig von der zweifelhaften Ergebnisliste des Veranstalters erhält jeder insgesamt 3 Punkte als Anerkennung für die Teilnahme. Sicher ist nicht jeder damit zufrieden, jedoch wäre die einzige andere seriöse Alternative gewesen, die Veranstaltung ganz aus der Wertung zu nehmen. Ihr dürft uns gerne zu dem Thema anschreiben.
Der AC Mettmann wird in 2023 nicht Teil der Kreismeisterschaft Wesel sein.
.
Das Endergebnis der
„Kreismeisterschaft Wesel für Oldtimer-Ausfahrten“
im Jahr 2021 steht hier:
.
.
Und schon haben wir Nr. 3 am Start. Nachdem ein Team uns noch seine Hilfe bei der eigenen Veranstaltung nach gemeldet hat, hat sich „oben rum“ ein bisschen was verschoben.
Wir versuchen natürlich ihn fern zu halten … doch dieser freche kleine Fehlerteufel ist so vorwitzig, dass er sich unbemerkt immer wieder einschleicht. Darum bitten wir euch herzlich uns zu benachrichtigen, falls ihr ihn irgendwo entdeckt. Lieben Dank!
(Frist zur Rückmeldung bis 31.10.21. Danach sind keine Änderungen mehr möglich.)
Kein Endergebnis 2020, weil keine Meisterschaftswertung möglich (Corona)
Wir beziehen uns in der Ausschreibung auf den Haftungsausschluss in der „ADAC-Rahmenausschreibung für touristische Oldtimerveranstaltungen, Seite 3, Artikel 7. “ (zu finden unter dem hier markierten Link) bzw. in der „ADAC-Rahmenausschreibung für tourensportliche und sportliche Oldtimerveranstaltungen, Seite 4, Artikel 7“ (zu finden unter dem hier markierten Link)


